研究进展

    研究进展

    当前您的位置: 首页 > 研究进展 > 正文

    2020年研究进展系列之31:必赢官网纳米能源研究中心在准一维碳纳米线圈热物性研究方面取得进展

    日期: 2020-05-11 浏览次数:

    近日,必赢官网纳米能源研究中心与大连理工大学碳纳米材料研究团队、美国Iowa State University微纳热学研究团队开展合作研究,在国际一流期刊International Journal of Heat and Mass Transfer上发表了题为“In Situ Investigation of Annealing Effect on Thermophysical Properties of Single Carbon Nanocoil”的研究论文。

        论文链接:https://www.sciencedirect.com/science/article/pii/S0017931019358284?via%3Dihub

        论文作者:邓承浩、丛天泽、谢杨苏、王日东、王天禹、潘路军、王信伟*

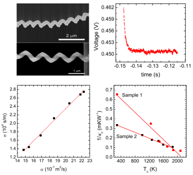
    碳纳米线圈是一种具有独特螺旋结构的准一维碳纳米材料,在内部结构上区别于碳纳米管和碳纳米纤维,为多晶-非晶混合结构。独特结构带来的独特物理特性决定了碳纳米线圈在复合材料、电磁波吸收、场发射、传感器和柔性电子等方面广泛的应用前景。本研究在国际上首次报导了焦耳热退火对单根碳纳米线圈热物性影响的原位表征。研究中,我们发现晶体重构速率随退火功率变化呈现正态分布。结合瞬态电热表征技术和有限差分方法,我们发现,单根碳纳米线圈的热导率在1200至1800 K的温度范围内表现出8.7倍的增大。研究揭示出碳纳米线圈热扩散系数和电导率之间精确的线性关系,以及热导率倒数与退火温度之间精确的线性线性关系。


        

    联系地址:广西区南宁市大学东路100号

    联系电话:0771-3237386

    邮 编 :530004

    关注我们

    版权所有:必赢nn699net(官方Vip认证)Green App Store