近日,必赢官网天体物理林达斌团队在伽马射线暴喷流与茧相互作用的研究论文在《The Astrophysical Journal》上发表。
双致密星并合或大质量恒星坍塌,会形成大量抛射物,并可能驱动产生伽马射线暴(简称伽马暴)的相对论性喷流。当喷流由爆发中心沿极轴方向运动时,会冲击并加热之前的抛射物,形成一个包裹喷流的茧。茧形成后往外膨胀,其经过一定时间后可能包围喷流辐射区并对喷流辐射产生影响。为了研究茧对喷流辐射的影响,我们考虑了存在长时标活动喷流和茧的系统(见图1),并取喷流功率
随时间
的演化为
,其中
和
分别为特征时标和衰减指数。
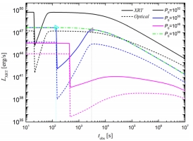
研究发现:当喷流的辐射区恰好被茧包围时,喷流电子的同步辐射会被显著抑制,针对茧辐射光子的外逆康普顿辐射主导喷流辐射,主要辐射集中在GeV-TeV能区;随着茧的演化,喷流的外逆康普顿辐射减弱,喷流电子的同步辐射逐渐回归主导地位。伴随于此,喷流低能段的辐射会在茧刚包围辐射区时出现陡降,尔后,缓慢回归到
的变化趋势,伴随其中有极强的GeV-TeV辐射(见图2左)。根据此类光变特征,人们可以用于探测伽马暴的甚高能辐射,同时也可据此光变特征来解释伽马暴余辉中所观测到的内平台成分(见图2右)。
图1:伽玛暴喷流与茧的辐射模型示意图

图2:在茧影响下喷流辐射的光变曲线(左)和GRB 070110内部平台的急剧衰减的示意图(右)
[注]该工作得到了国家自然科学基金(基金号:12273005、11773007)、广西自然科学基金(基金号:2018GXNSFFA281010和2016GXNSFDA380027)和CSST对重要突发天体事件的响应研究(CMS-CSST-2021-B11)的支持。
论文标题:Sharp Decay of the Internal Plateau in Gamma-Ray Bursts: The Effect of a Cocoon’s Thermal Photons on the Jet Emission
论文作者:李宇飞(硕)、林达斌(通讯作者)、任佳(博)、李晓燕(博)、李国鹏(博)、梁恩维