硫(S)是宇宙中含量第十的元素,与氢的相对丰度约为1.3×10-5,硫元素在许多星际分子中存在。含硫分子是确定大质量恒星形成区内部物理条件的有力工具。包括H2S、H2CS和 HCS+在内的含硫分子的丰度高度依赖于物理和化学变化,这意味着它们是大质量恒星形成演化阶段的良好示踪剂。
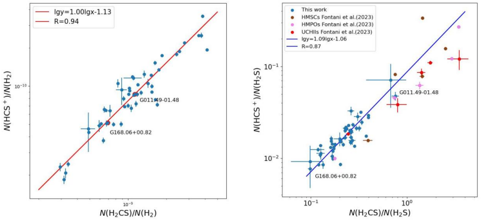
基于IRAM望远镜的观测,我们测量了51个大质量恒星形成区的源,得到了H2S 110-101, H234S 110-101, H2CS 514-414, HCS+ 4-3, SiO 4-3, HC3N 19-18, and C18O 1-0谱线,利用H234S计算得到H2S柱密度,利用C18O计算得到H2柱密度。[H2S/H2]、[H2CS/H2]和[HCS+/H2]的丰度比范围在一个量级以上,且相关系数高,斜率为正,线性关系强,这些分子之间可能存在化学联系,其中H2CS和HCS+的相关系数和斜率分别为0.94和1.00,相关性最强。
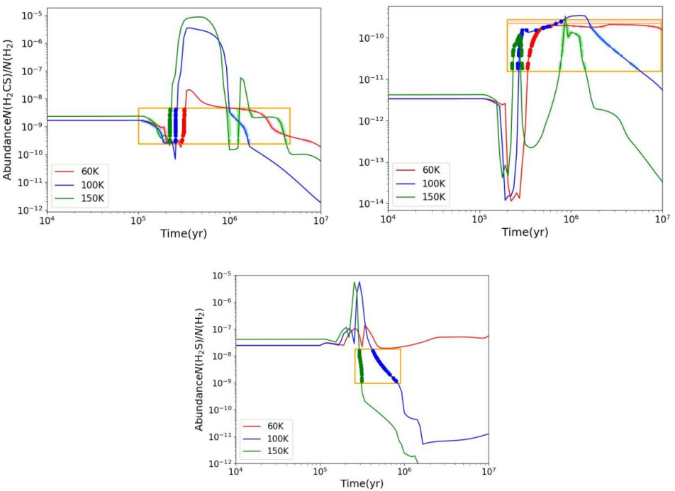
我们搭建了一个气体—尘埃表面—冰三相模型,通过比较观测和模型的结果,发现在一段时间(约2-3×105yr)内,模型与测量的H2S、H2CS和HCS+的丰度相匹配。在这些源中,H2S、H2CS和HCS+的丰度随着SiO丰度的增加而增加,这意味着激波化学很重要,在进一步建模时,需要考虑激波的影响。
此项工作已经发表在2024年11月份的《天文学与天体物理学》(A&A)。

图1 H2CS和HCS+分子丰度分布图。左图采用H2做标准化,右图采用H2S做标准化。

图2 气体—尘埃表面—冰三相化学模型。实线为最高温度为60K、100K和150K的模型的数据,点为实际的观测数据。
论文作者:罗睿(硕士研究生),王均智(通讯作者),张霞(中国科学院新疆天文台),全冬晖(之江实验室),蒋雪健(之江实验室),李娟(中国科学院上海天文台),勾茜(重庆大学),李郁强(中国科学院上海天文台),徐雅霓(硕士研究生),郑思琪(中国科学院上海天文台),欧超(博士研究生),刘怡嘉(安徽师范大学)
论文链接:https://doi.org/10.1051/0004-6361/202449477